PRODUCTS
1.Name:Baicalin
2.Appearance:Off-white powder
3. Specification:85%
4. CAS No:21967-41-9
5. Transport Package:1kg Aluminum Foil Bag/25kg Drum
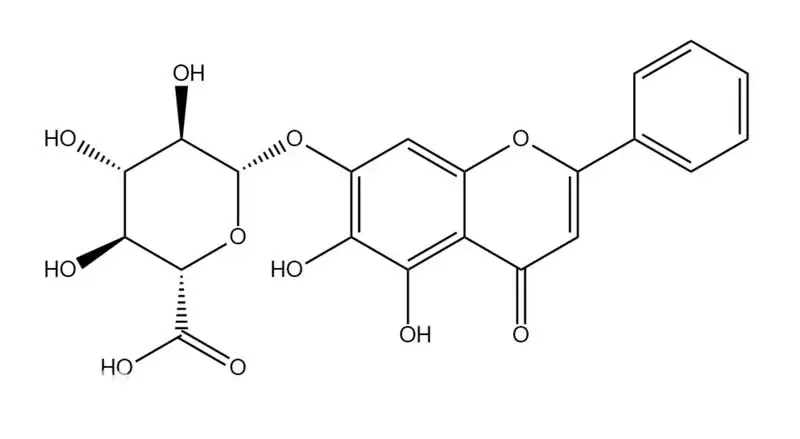
6. Molecular Formula:C21H18O11
7. Molecular Weight:446.36
8.Certificates: Organic, Kosher, ISO, HALAL, HACCP, GMP
9. Storage method: dry and cool place
10. Payment Method: T/T Western Union/Alibaba Online/Visa
Specification
|
Product name |
Baicalin |
|
CAS |
21967-41-9 |
|
Grade |
Pharmaceutical grade |
|
Specification |
85% |
What is Baicalin
Baicalin is a flavonoid compound extracted and isolated from the dried roots of the dicotyledonous Lamiaceae plant Scutellaria baicalensis Georgi. It is a light yellow powder at room temperature and has a bitter taste. Insoluble in methanol, ethanol, acetone, slightly soluble in chloroform and nitrobenzene, almost insoluble in water, soluble in hot acetic acid. It appears green when exposed to ferric chloride, and produces an orange precipitate when exposed to lead acetate. Soluble in alkali and ammonia, it appears yellow at first and soon turns to dark brown. It has significant biological activity, including antibacterial, diuretic, anti-inflammatory, cholesterol-lowering, anti-thrombosis, asthma relief, purging fire and detoxification, hemostasis, anti-tocolysis, anti-allergic and antispasmodic effects. It is also a precursor of mammalian liver salivary enzymes. Specific inhibitors have the effect of regulating certain diseases.
Baicalin is a flavonoid compound extracted and isolated from the root of Scutellaria baicalensis. It has significant biological activity and occupies an important position in clinical medicine. Baicalin can also absorb ultraviolet rays, scavenge oxygen free radicals, and inhibit the production of melanin. Therefore, it can be used in both medicine and cosmetics. It is a good raw material for functional beauty cosmetics.

CAS number: 21967-41-9
Molecular formula: C21H18O11
Molecular weight: 446.36100
Exact mass: 446.08500
Density: 1.737 g/cm3
Melting point: 231-233°C(lit.)
Boiling point: 836.6ºCat 760 mmHg
Flash point: 297.2ºC
Refractive index: 1.739
Solubility: Easily soluble in alkaline solution, difficult to dissolve in ethanol.
Benefits
1. Anti-pathogen effect: Tests have shown that baicalin (100 mg/kg) can reduce the mortality of mice infected with drug-resistant Staphylococcus aureus, indicating that baicalin has an antibacterial effect on drug-resistant Staphylococcus aureus.
2. Protective effect on liver injury: Experiments have shown that baicalin has a protective effect on acute liver injury in mice caused by CCl4 and D-galactose. In the experiment, SOD and GSH-Px in the administration group were significantly higher than those in the model group, while MDA content was significantly lower, indicating that the hepatoprotective mechanism of baicalin is closely related to its resistance to free radical lipid peroxidation.

3. Improvement of diabetic nephropathy: Diabetic nephropathy (DN) is one of the most common microvascular complications of diabetes mellitus (DM), and research on its pathogenesis has always been a hot topic in the field of diabetes at home and abroad. Hyperglycemia is the initiating factor that causes diabetic nephropathy, and through a series of processes in the body, it can cause oxidative stress and inflammatory responses in the body, leading to the activation of local cytokine networks in the kidney and leading to DN. During the entire process, the renin-angiotensin system plays an important role, among which angiotensin II (Ang II) is the most active factor in this system and is most closely related to DN. After baicalin treatment, AngII was significantly restored, which is the target of baicalin's protection of renal function in DN rats. That is, baicalin treats or protects DN by reducing the activity of the renin-angiotensin system (RAS) under hyperglycemia. Renal function in rats. In addition, baicalin can also restore kidney function by reducing blood pressure and intraglomerular pressure, improving blood internal environment and circulatory function after reducing AngII.
4. Repair and protective effect on brain damage: Baicalin can reduce the content of MDA in the brain tissue of ischemia-reperfusion rats and increase the activity of SOD, thereby inhibiting lipid peroxidation caused by free radicals and reducing the impact of free radicals on brain tissue. of damage.
5. Effect on retinopathy: Baicalin has the effect of significantly inhibiting retinal extracellular inflammatory edema, and is no less effective than topical corticosteroids.
6. Anti-allergic reaction: The reaction structure of baicalin is the same as that of the desensitizing drug cromoglycate disodium, so the anti-allergic effect is also similar.
COA

Why choose us

Our Certificate
We are certified by GMP, KOSHER, HALAL, HACCP and ISO

Our Factory
Xinlubio is a leading professional company dedicated to pure and natural products since 2013. Xinlubio is a professional supplier, we pursue high quality products. We hope to establish a long-term cooperative relationship with every customer

Package
1kg aluminum foil bag or 25kg Drum

FAQ
1. What we do
We are a botanical extract manufacturer, which means we do customized products. So if you cannot find ready products here, you can email us detailed requirement and we'll try our best to tailor the suitable product for you. Even if we are not able to supply you, we'll let you know asap too.
2.What file do you need to prepare if you want to get a quotation from us Please tell us some info.
About what you need, like quantity, destination, application, your company name and contact info.etc. If you bought it before, It's better that you have a exist spec. for us. Off course more details it will be helpful for us to reccomend a suitable product for you.
3. How about the delivery
Normally, for sample order, our delivery is about 2-4 days. For small batch, our delivery is about 3-5 days. For mass production batch, our delivery is about 4-8 days. But that depends on the real condition when we get your order.
4.How can we guarantee you receive an good quality product
Our management is in this feild over 15 years and our facotry is GMP and ISO certified. we use advanced philosophy and equipment.
5. With payment terms do we accept
For sample orders or small batch, we suggest you to use Pay-pal and Western Union.For mass production batch, we suggest you to use T/T.
6.With transportation do we use
For small quantity, it will be sent to you by DHL and EMS etc. For mass production batch, it will be delivered by air or sea.
Contact us
If you are looking for a reliable source of this valuable compound, please do not hesitate to contact us at sasha_slsbio@aliyun.com.
If you have any enquiry about quotation or cooperation, please feel free to email us at E-mail or use the following enquiry form. Our sales representative will contact you within 24 hours. Thank you for your interest in our products.